在食品工业中,糖分的准确识别与定量对于产品质量控制(如口感、质地)、合规性标注(如“无乳糖”声明)、真实性验证(如蜂蜜掺假检测)以及营养监控至关重要。蔗糖、乳糖、麦芽糖和海藻糖是四种常见的二糖,它们分子式和分子量相同,但结构和物理性质各异。传统的分析方法,如高效液相色谱法,虽然精确,但通常耗时、成本高且需要复杂的操作。因此,食品行业迫切需要一种快速、简便且成本低廉的替代技术来进行日常质量监控。

时域核磁共振(TD-NMR)技术以其分析速度快(数秒内)、仪器体积小、维护成本低以及对样品无损等优势,展现出解决这一需求的巨大潜力。本案例展示了如何利用一台简化版的TD-NMR仪器,通过分析水溶液中二糖的弛豫行为,实现对这四种二糖的快速鉴别与定量。
本案例研究旨在探索一种简化版的时域核磁共振(TD-NMR)技术在食品二糖表征方面的应用潜力。具体目标包括:
快速识别:验证TD-NMR能否通过分析弛豫信号,快速区分蔗糖、乳糖、麦芽糖和海藻糖这四种常见的、分子式与分子量相似的二糖。
简便定量:探究能否利用TD-NMR信号特征,建立与糖浓度相关的标准曲线,实现对溶液中二糖含量的快速、简便定量。
方法评估:评估该简化版TD-NMR方法在用户友好性、分析速度和成本效益方面的表现,并明确其技术局限性。
样品:分析纯的蔗糖无水物、麦芽糖一水合物、海藻糖二水合物、α-乳糖一水合物和β-乳糖无水物。
溶剂:去离子水。
样品制备:根据不同二糖的溶解度,使用去离子水配制一系列不同浓度的糖溶液。为避免温度波动影响,所有配制好的溶液均在32°C的密闭试管中静置至少一小时。
数据采集:将处理好的样品放入分析仪中。在0.5 T的磁场强度和32°C的恒温条件下,采用CPMG脉冲序列采集自旋-自旋(T2)弛豫数据。为确保数据可靠性,每个样品进行多次重复测量。
数据分析:对采集到的原始弛豫曲线进行处理,消除伪峰,并根据样品质量和扫描次数进行归一化。重点分析T2弛豫分布曲线中的主峰和次级峰,记录它们的弛豫时间(T2)和峰面积。
TD-NMR成功获得了所有二糖溶液的T2分布曲线。关键发现是:

图1:不同浓度二糖溶液的NMR弛豫曲线
所有二糖溶液均显示出两个可区分的峰:一个主峰(T2Main)和一个次级峰(T2Secondary)。而纯水仅有一个主峰,无次级峰。
麦芽糖的行为独树一帜,它产生了两个分离的次级峰,这是其他三种二糖所没有的“指纹”特征。

图2. 不同峰面积比值与糖浓度的关系(SM:主峰面积;SS:次级峰面积;ST:总峰面积)

图3. 弛豫时间随糖浓度的变化

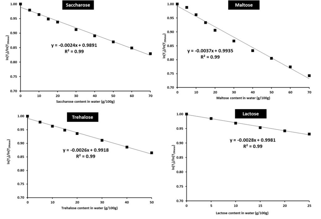
图4. 主峰弛豫时间与糖浓度的线性相关性
随着二糖浓度的增加,主峰和次级峰的弛豫时间均向左移动(即T2值减小),这表明糖分子的加入限制了水分子的流动性。
次级峰弛豫时间排序:在可比浓度下,四种二糖的次级峰弛豫时间遵循明确的顺序:
乳糖 > 海藻糖 > 蔗糖 > 麦芽糖。
具体范围:乳糖 (300–460 ms) > 海藻糖 (130–330 ms) > 蔗糖 (100–260 ms) > 麦芽糖 (10–190 ms)。
这种差异源于各二糖不同的水合能力、分子间氢键强度以及溶液粘度。例如,乳糖亲水性最强,与水结合更紧密,限制了质子运动,因而T2较长;而麦芽糖分子间作用力强,易形成大簇,导致质子弛豫极快,T2很短。
通过计算次级峰面积与总峰面积的比率(SS/ST),研究人员找到了另一个有效的鉴别指标:
在20 g/100g水的标准浓度下,SS/ST比率可将二糖分类:
蔗糖: SS/ST< 2.5%
海藻糖: 2.5% < SS/ST< 4.5%
乳糖: SS/ST > 4.5%
麦芽糖: 直接通过观察两个次级峰识别。
基于以上发现,我们提出一个实用的TD-NMR二糖鉴别流程:
将未知样品配制成约20 g/100g水的溶液。
使用TD-NMR采集其T2弛豫谱。
观察谱图:若出现两个次级峰,则判定为麦芽糖。
若只有一个次级峰,则:
计算其SS/ST比率,或测量其次级峰T2弛豫时间。
根据上述阈值范围,即可鉴别出是蔗糖、海藻糖还是乳糖。
本案例研究充分证明,简化版TD-NMR技术是一种非常高效、可靠的二糖表征工具。它无需复杂的前处理,在几分钟内即可通过分析T2弛豫谱中的“指纹”信息——包括次级峰的数量、弛豫时间(T2Secondary)以及峰面积比率(SS/ST)——来快速区分蔗糖、乳糖、麦芽糖和海藻糖。这种方法为食品企业在原料验收、生产过程控制和成品质检环节提供了一种前所未有的快速筛查方案,兼具成本效益与操作简便性,具有极高的实际应用价值。
电话:400-060-3233
售后:400-060-3233
返回顶部